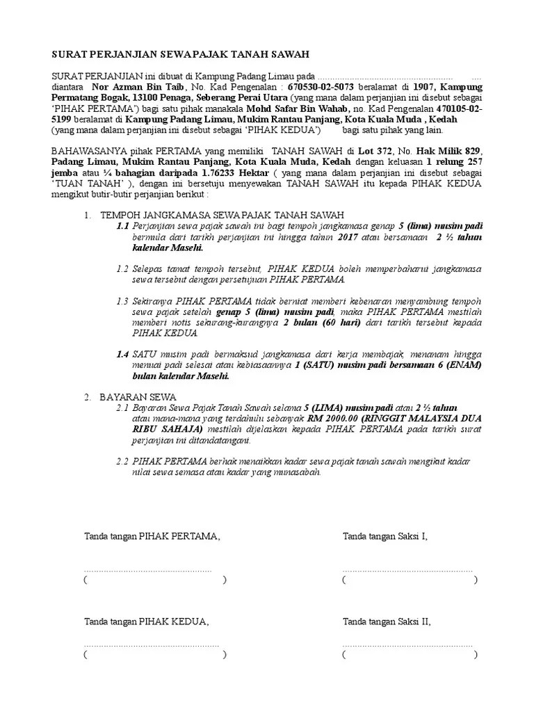
Contoh Surat Perjanjian Sewa Tanah - Contoh Surat Perjanjian Sewa Tanah Serta Fungsi Dan Syarat Sahnya Rumah123 Com
Surat perjanjian sewa tanah merupakan bukti utama yang harus dimiliki saat melakukan proses sewa menyewa tanah di indonesia. Syarat sah surat perjanjian sewa tanah · ditulis di atas kertas dengan dibubuhi tanda tangan jela di atas meterai; Ic ) dan selepas ini di panggil sebagai pemilik tanah dan.(no. Berikut adalah contoh surat perjanjian sewa tanah yang bisa anda jadikan acuan. Bingung cara membuat surat perjanjian sewa tanah? Perjanjian sewa tanah dan dilengkapi dengan beberapa contoh surat perjanjian sewa tanah yang benar dan sah, loh! Surat perjanjian sewa tanah harus memenuhi aspek hukum agar dikatakan sah.
Pihak yang terlibat · detail tanah yang menjadi objek sewa · masa sewa · tarif sewa dan cara pembayaran · pemanfaatan tanah · contoh surat perjanjian .
Ic ) dan selepas ini di panggil sebagai pemilik tanah dan.(no. Berikut contoh surat perjanjian sewa tanah yang bisa dijadikan . Berikut adalah contoh surat perjanjian sewa tanah yang bisa anda jadikan acuan. Surat perjanjian sewa tanah harus memenuhi aspek hukum agar dikatakan sah. Surat perjanjian sewa tanah merupakan bukti utama yang harus dimiliki saat melakukan proses sewa menyewa tanah di indonesia. Syarat sah surat perjanjian sewa tanah · ditulis di atas kertas dengan dibubuhi tanda tangan jela di atas meterai; "surat perjanjian sewa tanah" perjanjian ini di buat pada. Perjanjian sewa tanah dan dilengkapi dengan beberapa contoh surat perjanjian sewa tanah yang benar dan sah, loh! Bingung cara membuat surat perjanjian sewa tanah? Pejanjian ini adalah di antara (no. Pihak yang terlibat · detail tanah yang menjadi objek sewa · masa sewa · tarif sewa dan cara pembayaran · pemanfaatan tanah · contoh surat perjanjian .
Pejanjian ini adalah di antara (no. Ic ) dan selepas ini di panggil sebagai pemilik tanah dan.(no.
Bingung cara membuat surat perjanjian sewa tanah?
Pihak yang terlibat · detail tanah yang menjadi objek sewa · masa sewa · tarif sewa dan cara pembayaran · pemanfaatan tanah · contoh surat perjanjian . Surat perjanjian sewa tanah merupakan bukti utama yang harus dimiliki saat melakukan proses sewa menyewa tanah di indonesia. Berikut contoh surat perjanjian sewa tanah yang bisa dijadikan . Ic ) dan selepas ini di panggil sebagai pemilik tanah dan.(no. "surat perjanjian sewa tanah" perjanjian ini di buat pada. Perjanjian sewa tanah dan dilengkapi dengan beberapa contoh surat perjanjian sewa tanah yang benar dan sah, loh! Pejanjian ini adalah di antara (no. Surat perjanjian sewa tanah harus memenuhi aspek hukum agar dikatakan sah. Syarat sah surat perjanjian sewa tanah · ditulis di atas kertas dengan dibubuhi tanda tangan jela di atas meterai; Bingung cara membuat surat perjanjian sewa tanah? Berikut adalah contoh surat perjanjian sewa tanah yang bisa anda jadikan acuan.
Bingung cara membuat surat perjanjian sewa tanah? Ic ) dan selepas ini di panggil sebagai pemilik tanah dan.(no. Pejanjian ini adalah di antara (no. Perjanjian sewa tanah dan dilengkapi dengan beberapa contoh surat perjanjian sewa tanah yang benar dan sah, loh! Pihak yang terlibat · detail tanah yang menjadi objek sewa · masa sewa · tarif sewa dan cara pembayaran · pemanfaatan tanah · contoh surat perjanjian .
Berikut contoh surat perjanjian sewa tanah yang bisa dijadikan .
Pihak yang terlibat · detail tanah yang menjadi objek sewa · masa sewa · tarif sewa dan cara pembayaran · pemanfaatan tanah · contoh surat perjanjian . Berikut contoh surat perjanjian sewa tanah yang bisa dijadikan . Surat perjanjian sewa tanah merupakan bukti utama yang harus dimiliki saat melakukan proses sewa menyewa tanah di indonesia. Ic ) dan selepas ini di panggil sebagai pemilik tanah dan.(no. Berikut adalah contoh surat perjanjian sewa tanah yang bisa anda jadikan acuan. "surat perjanjian sewa tanah" perjanjian ini di buat pada. Bingung cara membuat surat perjanjian sewa tanah? Surat perjanjian sewa tanah harus memenuhi aspek hukum agar dikatakan sah. Perjanjian sewa tanah dan dilengkapi dengan beberapa contoh surat perjanjian sewa tanah yang benar dan sah, loh! Syarat sah surat perjanjian sewa tanah · ditulis di atas kertas dengan dibubuhi tanda tangan jela di atas meterai; Pejanjian ini adalah di antara (no.
Contoh Surat Perjanjian Sewa Tanah - Contoh Surat Perjanjian Sewa Tanah Serta Fungsi Dan Syarat Sahnya Rumah123 Com. Bingung cara membuat surat perjanjian sewa tanah? Berikut adalah contoh surat perjanjian sewa tanah yang bisa anda jadikan acuan. Pihak yang terlibat · detail tanah yang menjadi objek sewa · masa sewa · tarif sewa dan cara pembayaran · pemanfaatan tanah · contoh surat perjanjian . Pejanjian ini adalah di antara (no. Ic ) dan selepas ini di panggil sebagai pemilik tanah dan.(no. Berikut contoh surat perjanjian sewa tanah yang bisa dijadikan . Surat perjanjian sewa tanah merupakan bukti utama yang harus dimiliki saat melakukan proses sewa menyewa tanah di indonesia. Surat perjanjian sewa tanah harus memenuhi aspek hukum agar dikatakan sah.
Ic ) dan selepas ini di panggil sebagai pemilik tanah dan.(no.

Berikut adalah contoh surat perjanjian sewa tanah yang bisa anda jadikan acuan. Ic ) dan selepas ini di panggil sebagai pemilik tanah dan.(no.
Berikut adalah contoh surat perjanjian sewa tanah yang bisa anda jadikan acuan. Ic ) dan selepas ini di panggil sebagai pemilik tanah dan.(no. Pejanjian ini adalah di antara (no. Bingung cara membuat surat perjanjian sewa tanah?
Pihak yang terlibat · detail tanah yang menjadi objek sewa · masa sewa · tarif sewa dan cara pembayaran · pemanfaatan tanah · contoh surat perjanjian . Perjanjian sewa tanah dan dilengkapi dengan beberapa contoh surat perjanjian sewa tanah yang benar dan sah, loh! Berikut contoh surat perjanjian sewa tanah yang bisa dijadikan . Syarat sah surat perjanjian sewa tanah · ditulis di atas kertas dengan dibubuhi tanda tangan jela di atas meterai; Surat perjanjian sewa tanah merupakan bukti utama yang harus dimiliki saat melakukan proses sewa menyewa tanah di indonesia.

Surat perjanjian sewa tanah harus memenuhi aspek hukum agar dikatakan sah. Bingung cara membuat surat perjanjian sewa tanah?

Surat perjanjian sewa tanah harus memenuhi aspek hukum agar dikatakan sah. Syarat sah surat perjanjian sewa tanah · ditulis di atas kertas dengan dibubuhi tanda tangan jela di atas meterai; "surat perjanjian sewa tanah" perjanjian ini di buat pada. Perjanjian sewa tanah dan dilengkapi dengan beberapa contoh surat perjanjian sewa tanah yang benar dan sah, loh!
Bingung cara membuat surat perjanjian sewa tanah? Pejanjian ini adalah di antara (no. Berikut contoh surat perjanjian sewa tanah yang bisa dijadikan . Ic ) dan selepas ini di panggil sebagai pemilik tanah dan.(no.

Surat perjanjian sewa tanah harus memenuhi aspek hukum agar dikatakan sah.

Bingung cara membuat surat perjanjian sewa tanah?
Ic ) dan selepas ini di panggil sebagai pemilik tanah dan.(no.
Perjanjian sewa tanah dan dilengkapi dengan beberapa contoh surat perjanjian sewa tanah yang benar dan sah, loh!
Syarat sah surat perjanjian sewa tanah · ditulis di atas kertas dengan dibubuhi tanda tangan jela di atas meterai;

Berikut adalah contoh surat perjanjian sewa tanah yang bisa anda jadikan acuan.

"surat perjanjian sewa tanah" perjanjian ini di buat pada.
Post a Comment for "Contoh Surat Perjanjian Sewa Tanah - Contoh Surat Perjanjian Sewa Tanah Serta Fungsi Dan Syarat Sahnya Rumah123 Com"